做爱视频

研究生教育

GRADUATE

学位点介绍
导师介绍
做爱视频通知
联系方式
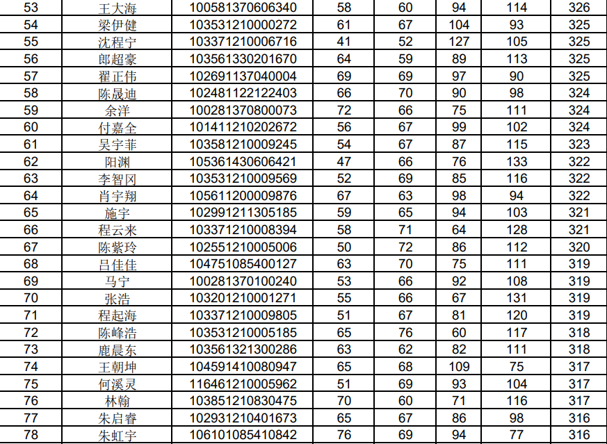
信息与电子工程学院调剂复试名单
2021年03月22日 15:14 发布人:邹璇 阅读次数:    











































打印此页